News
Heat Therapy Influences Thermoregulation and Behaviour in HFpEF Rats
Skeletal muscle contractions rely on a finely tuned neurovascular response. This meachanism ensures oxygen delivery matches metabolic demand. A key mechanism, functional sympatholysis, or the attenuation of sympathetic vasoconstriction during exercise, supports blood pressure regulation and exercise tolerance. Impairments in this process have been linked to reduced delivery of oxygen to the muscles in persons suffering from heart failure with preserved ejection fraction (HFpEF), a condition marked by severe exercise intolerance and limited treatment options.
Can heat therapy restore functional sympatholysis?
In a recent study, scientists from Purdue University, USA, Federal University of Sao Carlos, Brazil, Aurora University, USA, and Embry-Riddle Aeronautical University, USA investigated whether heat therapy, a promising cardiovascular intervention, can restore functional sympatholysis in HFpEF rats. The researchers used innovative techniques to measure interstitial muscle oxygen pressure (PO₂), and activity using physio-loggers. The objective was to try to determine how disease and therapy influence this critical physiological mechanism.
Activity measured every 7 minutes for 8 weeks
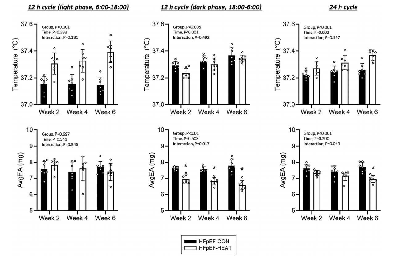
A total of 20 rats were implanted with Star-Oddi’s DST micro-ACT. The physio loggers were set to measure core body temperature every 3-4 minutes and activity every 7 minutes over 8 weeks. Data from weeks 2, 4 and 6 are used in the article. The rats were HFpEF obese male rats and 10 underwent heat therapy (HFpET-HEAT) and 10 were control rats (HFpET-CON). The heat therapy consisted of exposing the rats to 39°C daily and during daytime for gradual increase from 5 to 20 min over the course of the experiment. Core temperature from week 6 is shown below in fig. 2 from the article.
Activity patterns influenced by heat therapy
Across light and dark cycles, rats receiving heat therapy (HFpEF-HEAT) maintained higher core temperatures than controls during the light phase and over 24 hours, but slightly lower temperatures at night as shown in fig. 6 from the article below. Physical activity was similar between groups during the light phase, but HFpEF-HEAT rats showed reduced activity during the dark phase, and activity decreased further as heat therapy duration increased. 
This behavioural adjustment may help maintain thermal balance and could partly explain the greater body mass observed post-intervention in HFpEF-HEAT rats compared to HFpEF-CON rats, despite similar food intake. Notably, heat therapy did not alter body composition or skeletal muscle mass, contrasting with previous findings in other disease models.
Further results are available in the full article published in Experimental Physiology and can be found here.
Photo borrowed from here.